Usnic acid
Chemical structure of usnic acid
Names
IUPAC name
2,6-Diacetyl-7,9-dihydroxy-8,9b-dimethyldibenzo[b,d]furan-1,3(2H,9bH)-dione
Other names
  • Usneine
  • Usninic acid
  • Usniacin
Identifiers
3D model (JSmol)
ChEBI
ChEMBL
ChemSpider
ECHA InfoCard 100.004.310
UNII
  • InChI=1S/C18H16O7/c1-6-14(22)12(8(3)20)16-13(15(6)23)18(4)10(25-16)5-9(21)11(7(2)19)17(18)24/h5,11,22-23H,1-4H3 checkY
    Key: CUCUKLJLRRAKFN-UHFFFAOYSA-N checkY
  • InChI=1/C18H16O7/c1-6-14(22)12(8(3)20)16-13(15(6)23)18(4)10(25-16)5-9(21)11(7(2)19)17(18)24/h5,11,22-23H,1-4H3
    Key: CUCUKLJLRRAKFN-UHFFFAOYAS
  • CC1=C(C(=C2C(=C1O)C3(C(=CC(=O)C(C3=O)C(=O)C)O2)C)C(=O)C)O
Properties
C18H16O7
Molar mass 344.319 g·mol−1
Melting point 204 °C (399 °F; 477 K)
Except where otherwise noted, data are given for materials in their standard state (at 25 °C [77 °F], 100 kPa).
☒N verify (what is checkY☒N ?)
Infobox references

Usnic acid is a naturally occurring dibenzofuran derivative found in several lichen species with the formula C18H16O7. It was first isolated by German scientist W. Knop in 1844[1] and first synthesized between 1933 and 1937 by Curd and Robertson.[2] Usnic acid was identified in many genera of lichens including Usnea, Cladonia, Hypotrachyna, Lecanora, Ramalina, Evernia, Parmelia and Alectoria. Although it is generally believed that usnic acid is exclusively restricted to lichens, in a few unconfirmed isolated cases the compound was found in kombucha tea and non-lichenized ascomycetes.[3][4]

At normal conditions, usnic acid is a bitter, yellow, solid substance.[5] It is known to occur in nature in both the d- and l-forms as well as a racemic mixture. Salts of usnic acid are called usnates (e.g. copper usnate).

Biological role in lichens

Usnic acid is a secondary metabolite in lichens whose role has not been completely elucidated. It is believed that usnic acid protects the lichen from adverse effects of sunlight exposure and deters grazing animals with its bitter taste.

Biosynthesis

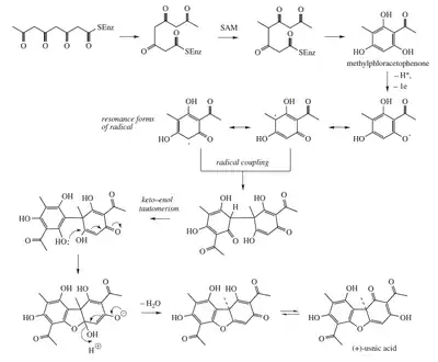
Usnic acid is a polyketide biosynthesized via methylphloroacetophenone as an intermediate.[6]

Proposed biosynthesis for usnic acid

Safety

Usnic acid and its salts are idiosyncratically associated with severe hepatotoxicity and liver failure.[7][8] Daily oral intake of 300–1350 mg over a period of weeks has led to severe hepatotoxicity in a number of persons.[9][10]

Sodium usniate was one ingredient in a product called "Lipokinetix" that was claimed to induce weight loss via an increase in metabolic rate. Lipokinetix has been the topic of an FDA warning in the USA[11] due to potential hepatotoxicity, although it is unclear yet if any toxicity would be attributable to the aforementioned salt. Lipokinetix also contained norephedrine (PPA), caffeine, yohimbine and 3,5-diiodothyronine.

Pharmacology

Usnic acid has been found to have adrenergic activity in both frog and earthworm nerve junction models in preliminary research.[12]

Analytics

It is possible to determine the content of usnic acid in lichen extract using reversed-polarity or high performance liquid chromatography. capillary zone electrophoretic analysis.[13]

References

  1. Knop, W (1844). "Chemisch-physiologische Untersuchung uber die Flechten". Annalen der Chemie und Pharmacie. 49 (2): 103–124. doi:10.1002/jlac.18440490202.
  2. Robertson, A.; Curd, F. H. (1933). "277. Usnic acid. Part III. Usnetol, usnetic acid, and pyrousnic acid". Journal of the Chemical Society (Resumed): 1173. doi:10.1039/jr9330001173.
  3. Cocchietto, Moreno; Skert, Nicola; Nimis, Pier; Sava, Gianni (2002). "A review on usnic acid, an interesting natural compound". Naturwissenschaften. 89 (4): 137–146. Bibcode:2002NW.....89..137C. doi:10.1007/s00114-002-0305-3. ISSN 0028-1042. PMID 12061397. S2CID 11481018.
  4. Blanc, Philippe J. (1996). "Characterization of the tea fungus metabolites". Biotechnology Letters. 18 (2): 139–142. doi:10.1007/BF00128667. ISSN 0141-5492. S2CID 34822312.
  5. Michael Ash; Irene Ash (2004). Handbook of preservatives. Synapse Info Resources. p. 5856. ISBN 978-1-890595-66-1. Retrieved 5 August 2010.
  6. Taguchi, Heihachiro; Sankawa, Ushio; Shibata, Shoji (1969). "Biosynthesis of Natural Products. VI. Biosynthesis of Usnic Acid in Lichens. (1). A General Scheme of Biosynthesis of Usnic Acid". Chemical & Pharmaceutical Bulletin. 17 (10): 2054–2060. doi:10.1248/cpb.17.2054. PMID 5353559.
  7. Chitturi, Shivakumar; Farrell, Geoffrey C. (2008). "Hepatotoxic slimming aids and other herbal hepatotoxins". Journal of Gastroenterology and Hepatology. 23 (3): 366–373. doi:10.1111/j.1440-1746.2008.05310.x. PMID 18318821. S2CID 23840983.
  8. Yellapu RK, Mittal V, Grewal P, Fiel M, Schiano T (2011). "Acute liver failure caused by 'fat burners' and dietary supplements: a case report and literature review". Canadian Journal of Gastroenterology. 25 (3): 157–60. doi:10.1155/2011/174978. PMC 3076034. PMID 21499580.
  9. Hsu, LM; Huang, YS; Chang, FY; Lee, SD (Jul 2005). "'Fat burner' herb, usnic acid, induced acute hepatitis in a family". Journal of Gastroenterology and Hepatology. 20 (7): 1138–9. doi:10.1111/j.1440-1746.2005.03855.x. PMID 15955234. S2CID 6717430.
  10. Sanchez, William; Maple, John T.; Burgart, Lawrence J.; Kamath, Patrick S. (2006). "Severe Hepatotoxicity Associated with Use of a Dietary Supplement Containing Usnic Acid". Mayo Clinic Proceedings. 81 (4): 541–544. doi:10.4065/81.4.541. PMID 16610575.
  11. "Safety Alerts for Human Medical Products > Lipokinetix". MedWatch: The FDA Safety Information and Adverse Event Reporting Program. U.S. Food and Drug Administration. November 20, 2001. Retrieved 5 December 2012. FDA has received multiple reports of persons who developed liver injury or liver failure while using Lipokinetix. The product contains norephedrine (also known as phenylpropanolamine or PPA), caffeine, yohimbine, diiodothyronine, and sodium usniate.
  12. Harris N. J. (1961), Honors Thesis, Clark University, Worcester, Massachusetts
  13. Kreft, Samo; Štrukelj, Borut (2001). "Reversed-polarity capillary zone electrophoretic analysis of usnic acid". Electrophoresis. 22 (13): 2755–2757. doi:10.1002/1522-2683(200108)22:13<2755::AID-ELPS2755>3.0.CO;2-6. PMID 11545403. S2CID 24341350.
This article is issued from Wikipedia. The text is licensed under Creative Commons - Attribution - Sharealike. Additional terms may apply for the media files.