![]() | |
| Clinical data | |
|---|---|
| Routes of administration | By mouth |
| ATC code |
|
| Legal status | |
| Legal status |
|
| Pharmacokinetic data | |
| Elimination half-life | Unknown but effects last much longer than other azapirones, up to 23 hours after a single dose in human clinical studies.[1] |
| Identifiers | |
| |
| CAS Number | |
| PubChem CID | |
| ChemSpider | |
| UNII | |
| Chemical and physical data | |
| Formula | C28H40N4O5 |
| Molar mass | 512.651 g·mol−1 |
| 3D model (JSmol) | |
| |
Umespirone (KC-9172) is a drug of the azapirone class which possesses anxiolytic and antipsychotic properties.[2][3][4][5] It behaves as a 5-HT1A receptor partial agonist (Ki = 15 nM), D2 receptor partial agonist (Ki = 23 nM), and α1-adrenoceptor receptor antagonist (Ki = 14 nM), and also has weak affinity for the sigma receptor (Ki = 558 nM).[2][6][7] Unlike many other anxiolytics and antipsychotics, umespirone produces minimal sedation, cognitive/memory impairment, catalepsy, and extrapyramidal symptoms.[1][5][6]
Synthesis
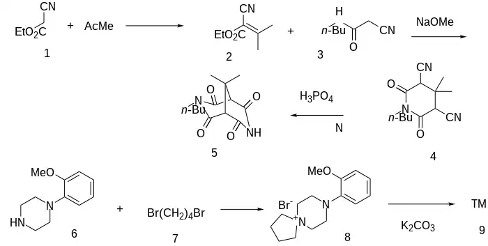
The condensation between ethyl cyanoacetate (1) and acetone gives ethylisopropylidenecyanoacetate [759-58-0] (2). This product is reacted with N-butylcyanoacetamide [39581-21-0] (3) in sodium methoxide solution to give N-butyl-2,4-dicyano-3,3-dimethylglutarimide, CID:10681941 (4). The glutarimide is cyclized with phosphoric acid to yield 3-butyl-9,9-dimethyl-3,7-diazabicyclo[3.3.1]nonane-2,4,6,8-tetraone, https://pubchem.ncbi.nlm.nih.gov/compound/10825633 CID:10825633 (5).
The reaction between 1-(o-anisyl)piperazine [35386-24-4] (6) and 1,4-dibromobutane [110-52-1] (7) gives the Quat salt CID:15895413(8).
Convergent synthesis (in the presence of potassium carbonate) affords Umespirone (KC-9172) (9).
See also
References
- 1 2 Holland RL, Wesnes K, Dietrich B (1994). "Single dose human pharmacology of umespirone". European Journal of Clinical Pharmacology. 46 (5): 461–8. doi:10.1007/bf00191912. PMID 7957544. S2CID 12117650.
- 1 2 Barnes NM, Costall B, Domeney AM, et al. (September 1991). "The effects of umespirone as a potential anxiolytic and antipsychotic agent". Pharmacology Biochemistry and Behavior. 40 (1): 89–96. doi:10.1016/0091-3057(91)90326-W. PMID 1685786. S2CID 9762359.
- ↑ Ruhland M, Krähling H, Fuchs A, Schön U (November 1988). "KC 9172 (free base of KC 7218)--an antipsychotic/anxiolytic compound. I. Antipsychotic and anxiolytic activity in comparison with chlorpromazine, clozapine, diazepam and buspirone". Pharmacopsychiatry. 21 (6): 396–8. doi:10.1055/s-2007-1017024. PMID 2907649. S2CID 260241523.
- ↑ Krähling H, Fuchs A, Ruhland M, Schön U, Mol F, Tulp M (November 1988). "KC 9172 (free base of KC 7218)--an antipsychotic/anxiolytic compound. II. Discrimination from typical neuroleptics and benzodiazepine-like minor tranquilizers". Pharmacopsychiatry. 21 (6): 399–401. doi:10.1055/s-2007-1017025. PMID 2907650. S2CID 260241655.
- 1 2 Schmidt WJ, Krähling H, Ruhland M (1991). "Antagonism of AP-5-induced sniffing stereotypy links umespirone to atypical antipsychotics". Life Sciences. 48 (6): 499–505. doi:10.1016/0024-3205(91)90464-M. PMID 1671523.
- 1 2 Ahlenius S, Wijkström A (November 1992). "Mixed agonist-antagonist properties of umespirone at neostriatal dopamine receptors in relation to its behavioral effects in the rat". European Journal of Pharmacology. 222 (1): 69–74. doi:10.1016/0014-2999(92)90464-F. PMID 1361441.
- ↑ Itzhak Y, Ruhland M, Krähling H (February 1990). "Binding of umespirone to the sigma receptor: evidence for multiple affinity states". Neuropharmacology. 29 (2): 181–4. doi:10.1016/0028-3908(90)90058-Y. PMID 1970425. S2CID 54326248.
- ↑ Kr鋒ling, H.; Krijzer, F. Drugs Fut 1991,16(5),437.
- ↑ DE3529872 idem Uwe Schoen, Wolfgang Kehrbach, Werner Benson, Andreas Fuchs, Michael Ruhland, U.S. Patent 4,771,044 (1988 to Kali-Chemie Pharma Gmbh).
| |||||||||||||||||||||
| |||||||||||||||||||||
| |||||||||||||||||||||
| |||||||||||||||||||||
| |||||||||||||||||||||
| D1-like |
| ||||||
|---|---|---|---|---|---|---|---|
| D2-like |
| ||||||
| |||||||
| σ1 |
|
|---|---|
| σ2 |
|
| Unsorted |
|
See also: Receptor/signaling modulators | |
| 5-HT1 |
| ||||||||||||||||||||||||||||||||||||||
|---|---|---|---|---|---|---|---|---|---|---|---|---|---|---|---|---|---|---|---|---|---|---|---|---|---|---|---|---|---|---|---|---|---|---|---|---|---|---|---|
| 5-HT2 |
| ||||||||||||||||||||||||||||||||||||||
| 5-HT3–7 |
| ||||||||||||||||||||||||||||||||||||||
| |||||||||||||||||||||||||||||||||||||||
| Simple piperazines (no additional rings) | |
|---|---|
| Phenylpiperazines |
|
| Benzylpiperazines | |
| Diphenylalkylpiperazines (benzhydrylalkylpiperazines) |
|
| Pyrimidinylpiperazines | |
| Pyridinylpiperazines | |
| Benzo(iso)thiazolylpiperazines | |
| Tricyclics (piperazine attached via side chain) |
|
| Others/Uncategorized | |

